成果简介
一种质子交换膜燃料电池不锈钢双极板的表面处理方法,在所述双极板表面合成一层Ti1-xNbxO2耐蚀、导电涂层,其中x表示Nb的原子百分比,为2~6 at.%,厚度为0.2~0.7 μm。本发明提供的质子交换膜燃料电池不锈钢双极板的表面处理方法,在质子交换膜燃料电池不锈钢双极板的表面合成了一种Ti1-xNbxO2耐蚀、导电涂层。工艺简单且成本低,且可施加在各类型不锈钢(如316L、304、310型不锈钢)表面。涂层在酸性溶液中具有优异的抗腐蚀性能。当涂层达到0.7 μm左右时即能对不锈钢基体起到长期的保护作用。
应用前景
本成果在质子交换膜燃料电池不锈钢双极板的表面制备了一种耐蚀、导电的Ti1-xNbxO2涂层,它可施加在各类型不锈钢(如316L、304、310型不锈钢)表面。涂层在酸性溶液中具有优异的抗腐蚀性能。当涂层达到0.7 μm左右时即能对不锈钢基体起到长期的保护作用。具有工艺简单、成本低,涂层在酸性溶液环境中具有优异的抗腐蚀性能。该方法制备的金属氧化物陶瓷涂层首次应用于质子交换膜燃料电池不锈钢双极板的表面防护
成熟度
基础研究
成果展示

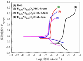
图1 施加和未施加涂层的316L在模拟PEMFC环境(80 oC的0.1mol/L H2SO4水溶液)中的动电位极化曲线
知识产权情况

成果完成人
化学化工学院:王艳丽
成果转化,请联系成果与合作处,联系人:刘老师,联系电话:0771-3272162。